काठमाडौँ । आगामी फागुन २१ गते देशभर प्रतिनिधि सभा सदस्य निर्वाचन हुँदैछ। निर्वाचन नजिकिँदै जाँदा राजनीतिक दलहरू आ-आफ्ना निर्वाचन क्षेत्रमा केन्द्रित प्रचारप्रसारमा सक्रिय छन् भने चुनावी घोषणापत्र तयार गर्ने कार्य पनि तीव्र गतिमा अघि बढिरहेको छ।
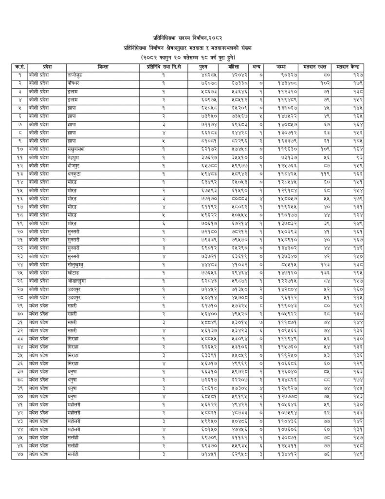
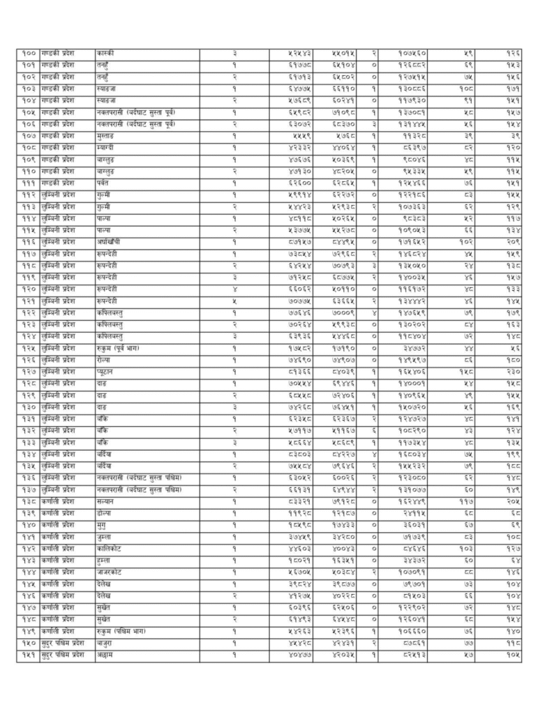
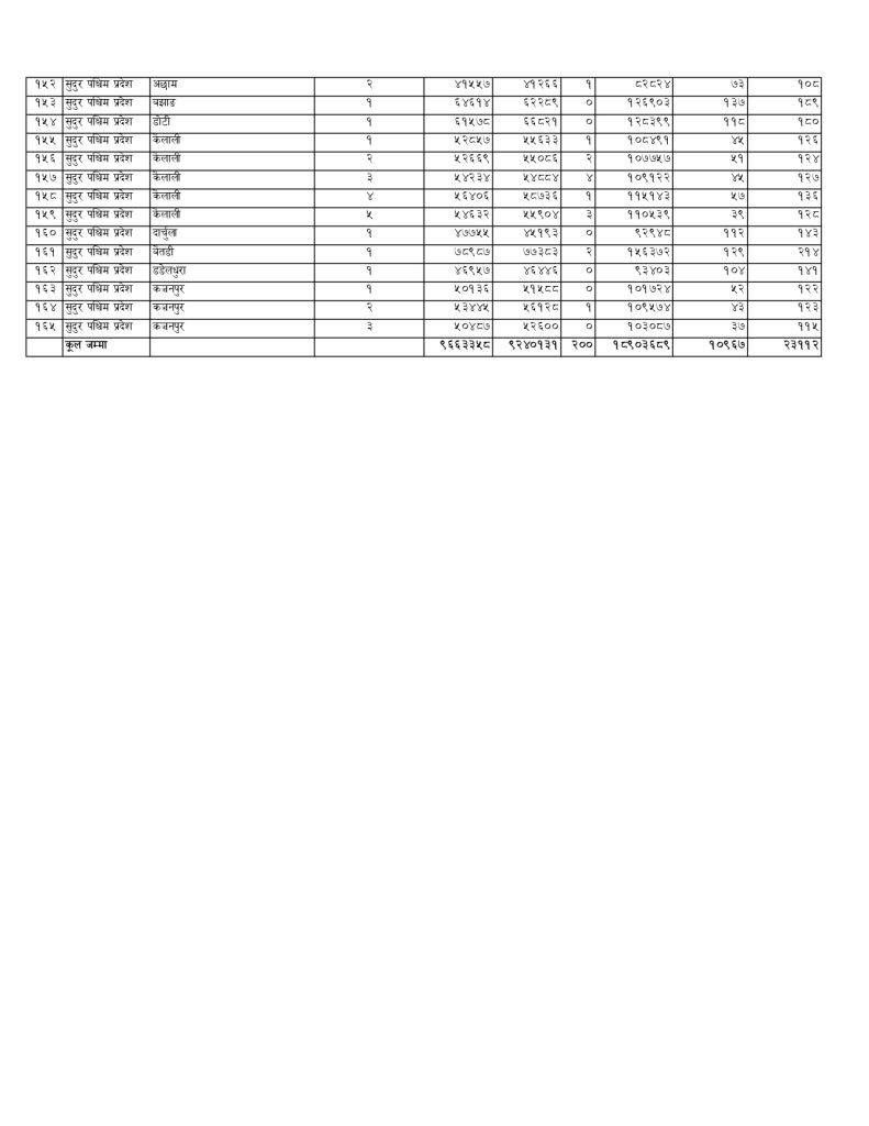
मंगलबार आयोगले क्षेत्रगत रूपमा मतदाता संख्याको विवरण सार्वजनिक गरेको छ । देशका १६५ निर्वाचन क्षेत्रमध्ये रामेछापमा सबैभन्दा धेरै एक लाख ८७ हजार ९५२ मतदाता छन् । रामेछाप एउटा मात्र निर्वाचन क्षेत्र भएको जिल्ला हो ।
त्यसपछि अर्घाखाँचीमा एक लाख ७१ हजार ६५२ मतदाता छन् । अर्घाखाँची पनि एउटा मात्र निर्वाचन क्षेत्र भएको जिल्ला हो ।
सबैभन्दा कम मनाङमा सात हजार मतदाता रहेका आयोगले जनाएको छ । मनाङमा पनि एउटा मात्र निर्वाचन क्षेत्र छ ।



